Your Tax Dollars Investigate UAP- Part 2 of 2
The UAP Disclosure Act of 2024 and a Department of Homeland Security UAP Program.
The best thing you can do after hearing incredible stories of UAP encounters is to do a trust check. Look for a second source of corroborating information. How long have these encounters been going on? What studies have already been done by scientists and credentialed sources?
Curious people entering the topic don’t often don’t know what to look for, and government programs are not exactly advertised for attention. If you don’t know the names of the programs, you’re not going to find much useful information.
Part 2 will briefly cover the UAP Disclosure Act of 2024- a bipartisan attempt to disclose UAP secrets to the public via writing it into the national defense budget.
This post will also describe KONA BLUE, the code name for the Department of Homeland Security’s UAP program- a successor to the 2008 Advanced Aerospace Weapon System Application Program.
Before we look at the UAP Disclosure Act, we need a little background on the NDAA.
What is the National Defense Authorization Act?
The NDAA provides authorization of appropriations for the Department of Defense, nuclear weapons programs of the Department of Energy, and other defense-related activities. It’s business as usual for the most powerful military industrial complex in the world, and it gets proposed, amended, voted on, and passed each fiscal year.
But in 2023, Chuck Schumer and Mike Rounds brought an amendment to the NDAA. This amendment was the UAP Disclosure Act.
What is the UAP Disclosure Act?
The UAPDA was the proposed legislation to centralize and archive all materials and information related to UAP that the US controls, and with certain exceptions, disclose everything to the public.
So why now? Where was this interest coming from? Who in government wanted to suddenly bring America’s UAP programs out of the shadows? The why is harder to answer, but we know who the members of Congress are who pushed this act forward.
Below are all quotes from the press release for the UAP Disclosure Act.
“For decades, many Americans have been fascinated by objects mysterious and unexplained and it’s long past time they get some answers,” said Leader Schumer.
“Our goal is to assure credibility with regard to any investigation or record keeping of materials associated with Unidentified Anomalous Phenomena (UAPs),” said Senator Rounds.
“There is a lot we still don’t know about these UAPs and that is a big problem,” said Vice Chairman Rubio
“Understanding UAPs is critical to our national security and to maintaining all-domain awareness,” said Senator Gillibrand.
“The American people deserve transparency on all issues related to UAPs. Our bipartisan effort will protect and better organize government materials related to UAPs and promote disclosure of this information,” said Senator Young
“The American people deserve transparency. And the federal government needs to be able to explain what is happening in our skies,” said Senator Heinrich.
Why Disclose Now?
This is probably the most interesting question. Congress doesn’t often pass legislation regarding UAP. Something had changed. The amendment’s language gives us a peek at the rationale.
Find the full UAPDA language here.
The Purpose of the amendment is in Section 2, shown below.
(1) All Federal Government records related to unidentified
anomalous phenomena should be preserved and centralized for
historical and Federal Government purposes. (2) All Federal Government records concerning unidentified
anomalous phenomena should carry a presumption of immediate
disclosure and all records should be eventually disclosed to
enable the public to become fully informed about the history
of the Federal Government’s knowledge and involvement
surrounding unidentified anomalous phenomena.
(3) Legislation is necessary to create an enforceable,
independent, and accountable process for the public
disclosure of such records.(4) Legislation is necessary because credible evidence and testimony indicates that Federal Government unidentified anomalous phenomena records exist that have not been declassified or subject to mandatory declassification review as set forth in Executive Order 13526 (50 U.S.C. 3161 note; relating to classified national security information) due in part to exemptions under the Atomic Energy Act of 1954 (42 U.S.C. 2011 et seq.), as well as an over-broad interpretation of ``transclassified foreign nuclear information’‘, which is also exempt from mandatory declassification, thereby preventing public disclosure under existing provisions of law.
(5) Legislation is necessary because section 552 of title 5, United States Code (commonly referred to as the ``Freedom of Information Act’‘), as implemented by the Executive branch of the Federal Government, has proven inadequate in achieving the timely public disclosure of Government unidentified anomalous phenomena records that are subject to mandatory declassification review.
(6) Legislation is necessary to restore proper oversight over unidentified anomalous phenomena records by elected officials in both the executive and legislative branches of the Federal Government that has otherwise been lacking as of the enactment of this Act.
(7) Legislation is necessary to afford complete and timely access to all knowledge gained by the Federal Government concerning unidentified anomalous phenomena in furtherance of comprehensive open scientific and technological research and development essential to avoiding or mitigating potential technological surprise in furtherance of urgent national security concerns and the public interest.
In a nutshell, the purpose of the UAP Disclosure Act is to…
Centralize UAP records at the National Archives.
Disclose the truth about UAP to the public.
Create an enforceable process for disclosure.
Declassify old UAP records that are overdue for declassification.
Remedy the fact that FOIA has not been effective in achieving disclosure of UAP.
Restore proper oversight of UAP material and records to the executive and legislative branches.
Prevent technological surprise for purpose of national security.
The language was unprecedented. The amendment had definitions for Non-Human Intelligence, Technologies of Unknown Origin, and included the observed characteristics of UAP like:
(i) Instantaneous acceleration absent apparent inertia. (ii) Hypersonic velocity absent a thermal signature and sonic shockwave. (iii) Transmedium (such as space-to-ground and air-to- undersea) travel. (iv) Positive lift contrary to known aerodynamic principles. (v) Multispectral signature control. (vi) Physical or invasive biological effects to close observers and the environment.
Did the UAPDA Become Law?
Unfortunately, no, most of it didn’t. The only part that made it into law was the creation of the National Archives UAP Records Collection. The UAPDA itself was just an amendment. That means we don’t have a record of who rejected the amendment’s language, and on what grounds.
Despite the failure, many members of Congress have kept interest, and continued to push for transparency.



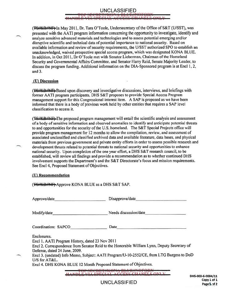
KONA BLUE- the Cancelled DHS Program
KONA BLUE was the code name of the proposed continuation of AAWSAP. Below are the first two pages of the declassified pdf of KONA BLUE, a prospective special access program that, if created, would have been part of the Department of Homeland Security’s Science and Technology division. The full 56-page pdf is available through AARO’s website.
If approved by DHS, KONA BLUE would have been funded with a modest $12 million in fiscal year 2012, $25 million in FY 2013, and $35-50 million in FY 2014, with an unspecified budget in fiscal years 2015-2018.


From AARO’s webpage on the History and Origin of KONA BLUE:
The All-domain Anomaly Resolution Office (AARO) first learned of the KONA BLUE program from interviews conducted as part of its historical review. Multiple interviewees identified KONA BLUE as a Department of Homeland Security (DHS) sensitive compartment established to protect the retrieval and exploitation of “non-human biologics.” AARO researched the information provided by the interviewees and learned KONA BLUE was a Prospective Special Access Program (PSAP) that had been proposed to DHS leadership but was never approved or formally established. KONA BLUE never received any materials or funding, and there is no information beyond the proposal presentation marked with the KONA BLUE name.
“Biologics”- there’s that word again.
KONA BLUE’s Areas of Study
Just like the Advanced Aerospace Weapon System Application Program (AAWSAP) mentioned in Part 1, KONA BLUE had many divisions of study.
The most immediately interesting divisions are the plans for the Advanced Technology Center, and the Consciousness Center.
The mission of the Advanced Technology Center is to establish a comprehensive program. First to gain access to and inventory all existing caches of Advanced Aerospace Vehicle (AAV) materials and documentation within CONUS, whether residing in archive storage or under active program investigation in National Laboratories, government organizations and/or contractors;
The Consciousness Center manages the acquisition, training, and utilization of remote viewers and communicators. These unorthodox techniques may prove to be critical collection methods for supplementing efforts within Data Collection, Advanced Technology, and, especially, the Experimental and Medical Centers.
This is not the first time the US has funded and operated remote viewing programs. If you are interested in US history of remote viewing programs, I would highly recommend this post about Albert Stubblebine- the man behind the remote viewing programs of the Army Intelligence and Security Command and Defense Intelligence Agency. Garrett’s work is phenomenal, and his work dives deep into US history and brings back incredible insights about UAP and more.
The Questions Pile Up
So what can we take from all of this? Is the KONA BLUE pdf real? Were these actual plans for more UAP studies? AARO is certainly presenting the proposal for KONA BLUE as if it was real.
Lets recount the official programs we’ve seen so far. We’ve seen records establishing and describing AAWSAP, AATIP, the UAPTF, AOIMSG, AARO, and the attempts and failures of the UAPDA and KONA BLUE. It’s a mouthful.
My goal with this post is not to dive into any particular program. Instead, I simply want to make the case that there is a long history of known UAP programs that cost taxpayer dollars and require political will at the house, senate, and cabinet levels. In the context of official programs, the UAP issue has always been based around national defense. While UFOs may show up for seemingly no reason, legislation and defense budgets do not.
I have heard compelling arguments that many of these programs are layers of disinformation to cover up secret stealth aircraft. That may be true in some cases, but the deeper you look, the stranger the picture gets. In the past 4 years we have stories from Skinwalker Ranch of orbs, wolf-men, portals, and whistleblower testimony of biologics, detailed descriptions of massive triangles and other impossible objects hovering inside restricted airspace with no effective action taken against them.
These are only the most recent and most public cases, and nearly all of them are from government employees speaking out at their own risk, under oath, in public broadcast media before congress. If this is just the tip of the iceberg, what stories are being squashed and classified before they reach the status of acceptance on the news?
There is a precedent for some extraordinarily weird things going on at the official level. My posts don’t go into too much detail about the truly weird stuff. Instead, my goal is to list the facts and credibility of the topic at large, in plain language, and to give a historical baseline of record. I think many people are immediately turned away when they see UAP framed as spooky tales and entertainment. The stigma has gotten to them, and they are quick to judge. UAP Status is for those people in particular.
Those of us on the ground may not strictly believe aliens are real, or that some UAP warp spacetime as propulsion. Without reading any books on the phenomenon, that’s a reasonable reaction. But to me, the most fascinating thing is that certain people in government take these phenomena seriously. It’s their job. And your taxpayer dollars pay their salaries.
If you made it all the way down here…
Thank you so much for reading! UAP Status is a labor of love and an optimistic view that some of these great questions can be answered. Subscribing helps me continue my research to parse the secrecy of the phenomenon.
Paid subscriptions at $5 per month unlock podcast-quality recordings of all posts. Posts are read aloud by me- not a default AI reader. Thanks again.
-Paul



